- Home
- Teachers
- Users
- Dictionary
- Tools
- Mstory
- Story
- Notebook
- QA
- Video
- My Community
- My Lesson
- My Wallet
- Buy CSP
- Profile
- Settings
- Submit a Ticket
- My Ticket
- Help
- Log off
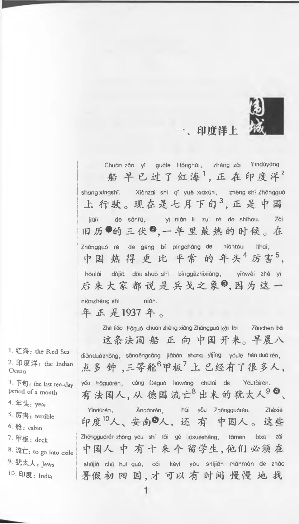
The Besieged City (Abridged Chinese Classic Series)
254 6 40 2
2023-05-26
/fit-in/960x0/img/202305/SinolinguaAbridgedChineseClassicSeries-TheBesiegedCity-1--feaf6051-c3ec-403c-909c-b424b5fdc610-1685071135.jpg)
/fit-in/960x0/img/202305/SinolinguaAbridgedChineseClassicSeries-TheBesiegedCity-2--8a92c021-4067-4cc2-97ee-a4196e3c7c05-1685071135.jpg)
/fit-in/960x0/img/202305/SinolinguaAbridgedChineseClassicSeries-TheBesiegedCity-3--bfc6a8b0-6284-4072-bb80-15f2bd63fb2b-1685071136.jpg)
/fit-in/960x0/img/202305/SinolinguaAbridgedChineseClassicSeries-TheBesiegedCity-4--52a9fa2c-ff08-4b20-8e75-abb2816b2940-1685071136.jpg)
6
40
Uploader
Serg
Notebook
Please follow Cchatty's community policy.
Post
Schedule
(y-m-d h:m)
Select time
Clear
OK
November 2025
Sun
Mon
Tue
Wed
Thu
Fri
Sat
262728293031123456789101112131415161718192021222324252627282930123456QA
Please follow Cchatty's community policy.
Post
Schedule
(y-m-d h:m)
Select time
Clear
OK
November 2025
Sun
Mon
Tue
Wed
Thu
Fri
Sat
262728293031123456789101112131415161718192021222324252627282930123456